23 Şubat 2026
TARIM VE ORMAN BAKANLIĞI 1 ESKİ HüKüMLÜ İŞÇİ ALACAK ( 23 Şubat - 27 Şubat)
TARIM VE ORMAN BAKANLIĞI 1 ESKİ HüKüMLÜ İŞÇİ ALACAK ( 23 Şubat - 27 Şubat)
İlan İçeriği Sayfa 1

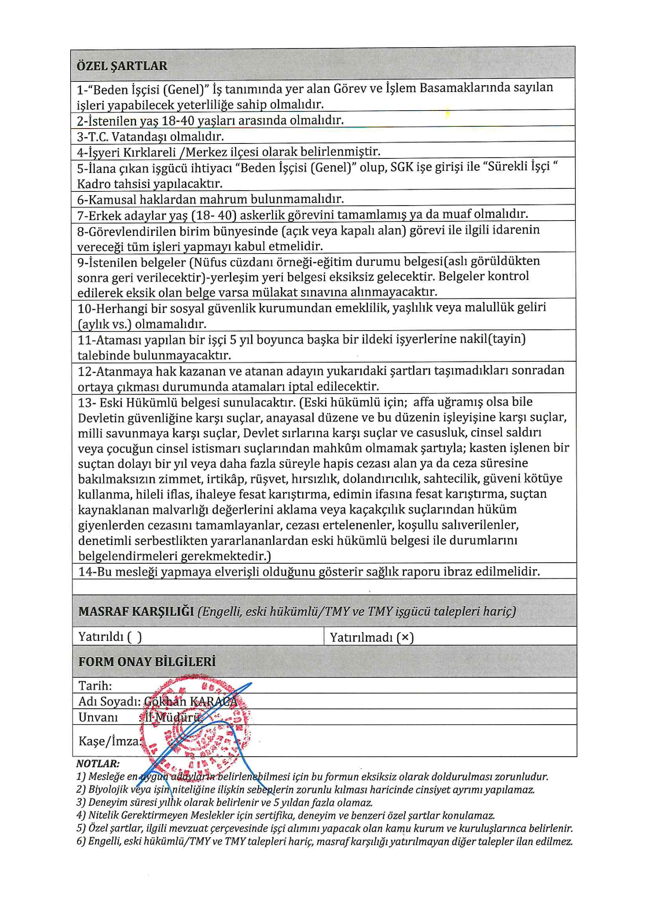
İlan İçeriği Sayfa 2

TARIM VE ORMAN BAKANLIĞI 1 ESKİ HüKüMLÜ İŞÇİ ALACAK ( 23 Şubat - 27 Şubat)

