26 Aralık 2025
MİLLİ SAVUNMA BAKANLIĞI 2025 YILI MİLLÎ SAVUNMA BAKANLIĞI, GENELKURMAY BAŞKANLIĞI, KUVVET KOMUTANLIKLARI VE MİLLÎ SAVUNMA ÜNİVERSİTESİNE MEMUR TEMİNİ ( 26 Aralık - 25 Ocak)
MİLLİ SAVUNMA BAKANLIĞI 2025 YILI MİLLÎ SAVUNMA BAKANLIĞI, GENELKURMAY BAŞKANLIĞI, KUVVET KOMUTANLIKLARI VE MİLLÎ SAVUNMA ÜNİVERSİTESİNE MEMUR TEMİNİ ( 26 Aralık - 25 Ocak)
İlan İçeriği Sayfa 1

İlan İçeriği Sayfa 2

İlan İçeriği Sayfa 3

İlan İçeriği Sayfa 4

İlan İçeriği Sayfa 5

İlan İçeriği Sayfa 6

İlan İçeriği Sayfa 7

İlan İçeriği Sayfa 8

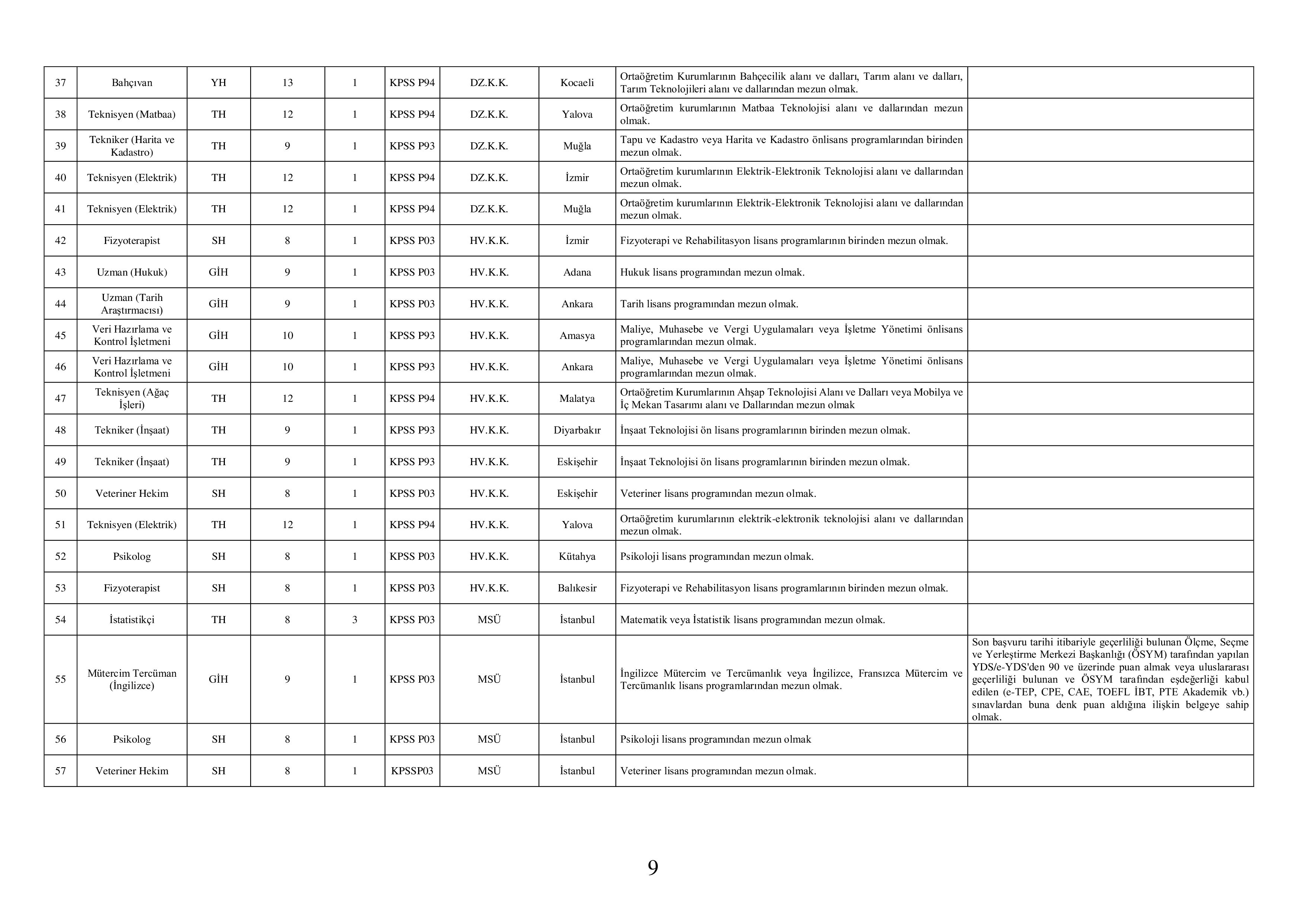
İlan İçeriği Sayfa 9

İlan İçeriği Sayfa 10



