11 Kasım 2025
ATATÜRK ÜNİVERSİTESİ 53 ÖĞRETİM ÜYESİ ALACAK ( 11 Kasım - 25 Kasım)
ATATÜRK ÜNİVERSİTESİ 53 ÖĞRETİM ÜYESİ ALACAK ( 11 Kasım - 25 Kasım)
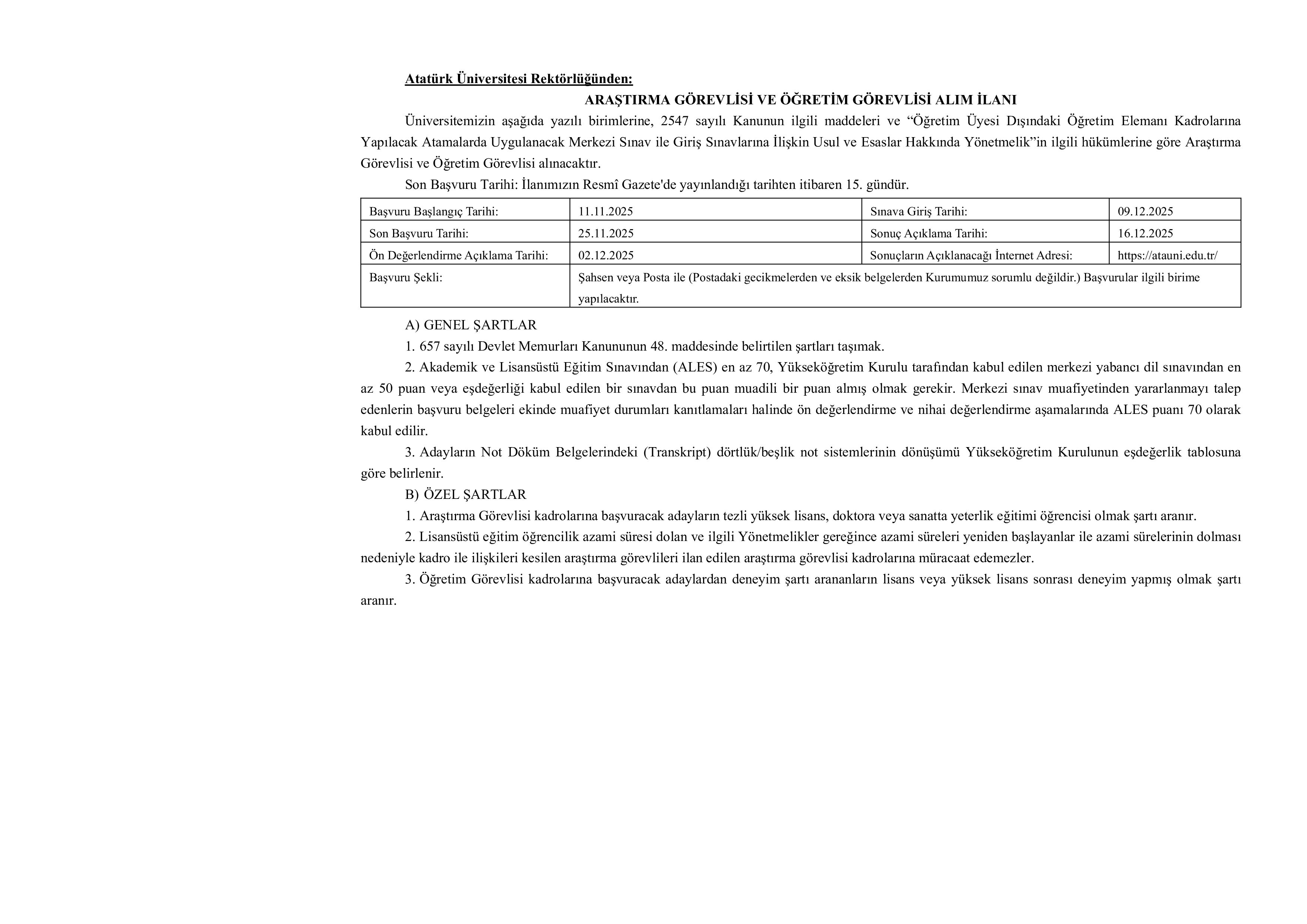
İlan İçeriği Sayfa 1

İlan İçeriği Sayfa 2

İlan İçeriği Sayfa 3

İlan İçeriği Sayfa 4

İlan İçeriği Sayfa 5

İlan İçeriği Sayfa 6

İlan İçeriği Sayfa 7

İlan İçeriği Sayfa 8

İlan İçeriği Sayfa 9

İlan İçeriği Sayfa 10

İlan İçeriği Sayfa 11

İlan İçeriği Sayfa 12

İlan İçeriği Sayfa 13

İlan İçeriği Sayfa 14

İlan İçeriği Sayfa 15



