KPSS ALANLARI ve KPSS PUAN TÜRLERİ HAKKINDA DETAYLI MAKALEMİZ

KPSS ALANLARI ve KPSS PUAN TÜRLERİ HAKKINDA DETAYLI MAKALEMİZİ bu makalemizden inceleyebilirsiniz. 

KPSS(Kamu Personel Seçme Sınavı)

KPSS Sınavı; Lisans, Ön Lisans ve Ortaöğretim mezunları adayların,  kamu kurum ve kuruluşlarda memur olabilmek için uygulanan bir sınavdır. Adayların mezun olduğu bölüm ile başvuracakları kadrolar değişim göstermektedir.

KPSS Sınavı, adayların karşısına KPSS A ve KPSS B olarak gelmektedir.

KPSS B Sınavına Kimler Girebilir?

Lisans mezunları, Ön Lisans ve Ortaöğretim mezunları adayları girebilmektedirler ve merkezi atama ile göreve başlarlar. Herkesin bölümüne göre merkezi atama kadrosu değişim arz etmektedir. KPSS B puanı ile adaylar:

Mühendis, teknisyen, tekniker, mimar, psikolog, hemşire, kurum avukatlığı vb. mesleklere atamalar yapılmaktadır.

Hukuk mezunu olan adaylar, Kurum Avukatlığı yapabilmek için çift yıllarda başvuru yaparak KPSS B sınavından P3 puanı alması gerekmektedir.

KPSS B Sınavı Hangi Dersleri İçerir?
KPSS B Sınavı, Genel Yetenek ve Genel Kültür bölümlerinden oluşmaktadır.
Genel Yetenek bölümünde adaylar;
  • Türkçe (30) ve
  • Matematik (30)

derslerinden toplamda 60 sorudan sorumludur.

Genel Kültür bölümünde ise
  • Tarih(27),
  • Coğrafya (18),
  • Vatandaşlık (9)
  • ve Güncel olaylardan (6) 

toplamda 60 sorudan sorumludur.

KPSS A Sınavına Kimler Girebilir?
Lisans seviyesinde üniversitelerin 4 yıllık bölümlerinden mezun olan adaylar başvuru yapabilmektedir.
Hukuk, İktisat, İşletme, İİBF(İktisadi ve İdari Bilimler Fakültesi), SBF(Siyasal Bilgiler Fakültesi) bölümü vs. mezun adaylar başvuruyu yapabilmektedir.
Hukuk bölümü mezunları, KPSS A Sınavı ile birçok kuruma başvurularını yapabilmektedirler. Örneğin; Uzman, Müfettiş, Uzman Hukukçu, Hukuk Müşavirliği vs. meslek dallarını tercih edebilirler.
İİBF mezunları da birçok kuruma başvuru yapabilmektedirler. Örneğin; Uzman, Denetçi, Denetmenlik, Müfettişlik, Müfettiş Yardımcılığı, Gelir Uzman Yardımcılığı, Stajyer Kontrolörlük vs. meslek dallarını tercih edebilirler.

KPSS A Sınavının Konu Dağılımı Nasıldır?
Öncelikle KPSS A Sınavı 4 ana dersi içermektedir. Bunlar Hukuk, İktisat, Maliye ve Muhasebe derslerinden oluşmaktadır.
Adaylar Hukuk Bölümünden;
  • Anayasa Hukuku (4),
  • İdare Hukuku (6),
  • İdari Yargılama Usul Hukuku (6),
  • Ceza Hukuku (3),
  • Ceza Usul Hukuku (3),
  • Borçlar Hukuku (6),
  • Medeni Hukuk (6),
  • Ticaret Hukuku (6) ve
  • İcra-İflas Hukuku (6)

derslerinden toplamda 40 sorudan sorumludur.

İktisat Bölümünden;
  • Mikro İktisat (12),
  • Makro İktisat (10),
  • Para-Banka-Kredi (4),
  • Uluslararası İktisat (4),
  • Kalkınma-Büyüme (4),
  • Türkiye Ekonomisi (4), 
  • İktisadi Doktrinler Tarihi (2)

derslerinden toplamda 40 sorudan sorumludur.

Maliye Bölümünden;
  • Maliye Teorisi (4),
  • Kamu Gelirleri (6),
  • Kamu Giderleri (6),
  • Kamu Borçları (6),
  • Bütçe (6),
  • Vergi Hukuku (6),
  • Maliye Politikası (6)

derslerinden toplamda 40 sorudan sorumludur.

Muhasebe Bölümünden;
  • Genel Muhasebe (28),
  • Mali Tablolar Analizi (8),
  • İhtisas Muhasebesi (Maliyet Muhasebesi, Yönetim Muhasebesi, Denetim, Türk Finansal Raporlama Standartları, Türk Muhasebe Standartları) (4)

derslerinden toplamda 40 sorudan sorumludur.

KPSS A Sınavında adaylar diğer oturum seçeneklerini de kendi bölümlerine göre tercih edebilirler. Aşağıda KPSS Alan sınavı için puan türlerine her bir bölüm bazında detaylı açıklamaları takip edebilirsiniz. 

Bankacılık bölümü mezunları hangi puan türünde KPSS tercihinde bulunabilirler? 
Bankacılık bölümü mezunları için KPSS Puan Türü nedir?
Bankacılık bölümü mezunları P1 puan türünde KPSS tercihinde bulunabilirler.

Bankacılık bölümü mezunları puan türüne göre hangi KPSS alanlarından sorumludur?
Bankacılık bölümü mezunları KPSS P1 puan türüne göre Genel Yetenek ve Genel Kültür alanlarından sorumludur.

Bankacılık ve Finans bölümü mezunları hangi puan türünde KPSS tercihinde bulunabilirler? 
Bankacılık ve Finans bölümü mezunları için KPSS Puan Türü nedir?
Bankacılık ve Finans bölümü mezunları P1 ve P40 puan türünde KPSS tercihinde bulunabilirler.

Bankacılık ve Finans bölümü mezunları puan türüne göre hangi KPSS alanlarından sorumludur?
Bankacılık ve Finans bölümü mezunları KPSS P1 puan türüne göre Genel Yetenek ve Genel Kültür alanlarından, P40 puan türünde ise Genel Yetenek, Genel Kültür, Hukuk ve ÇEKO (Çalışma Ekonomisi ve Endüstri İlişkileri bölümü) alanlarından sorumludur.

Çalışma ekonomisi ve Endüstri İlişkileri bölümü mezunları hangi puan türünde KPSS tercihinde bulunabilirler? 
Çalışma ekonomisi ve Endüstri İlişkileri bölümü mezunları için KPSS Puan Türü nedir?
Çalışma ekonomisi ve Endüstri ilişkileri bölümü mezunları P1 puan türünde KPSS tercihinde bulunabilirler.

Çalışma ekonomisi ve Endüstri İlişkileri bölümü mezunları puan türüne göre hangi KPSS alanlarından sorumludur?
Çalışma ekonomisi ve Endüstri İlişkileri bölümü mezunları KPSS P1 puan türüne göre Genel Yetenek ve Genel Kültür alanlarından sorumludur.

Ekonometri bölümü mezunları hangi puan türünde KPSS tercihinde bulunabilirler?
Ekonometri bölümü mezunları için KPSS Puan Türü nedir?
Ekonometri bölümü mezunları P1 ve P34 puan türünde KPSS tercihinde bulunabilirler.

Ekonometri bölümü mezunları puan türüne göre hangi KPSS alanlarından sorumludur?
Ekonometri bölümü mezunları KPSS P1 puan türüne göre Genel Yetenek ve Genel Kültür alanlarından, P34 puan türünde ise Genel Yetenek, Genel Kültür ve Uluslararası İlişkiler alanlarından sorumludur.

Ekonomi bölümü mezunları hangi puan türünde KPSS tercihinde bulunabilirler?
Ekonomi bölümü mezunları için KPSS Puan Türü nedir?
Ekonomi bölümü mezunları P1 puan türünde KPSS tercihinde bulunabilirler.

Ekonomi bölümü mezunları puan türüne göre hangi KPSS alanlarından sorumludur?
Ekonomi bölümü mezunları KPSS P1 puan türüne göre Genel Yetenek ve Genel Kültür alanlarından sorumludur.

Hukuk bölümü mezunları hangi puan türünde KPSS tercihinde bulunabilirler?
Hukuk bölümü mezunları için KPSS Puan Türü nedir?
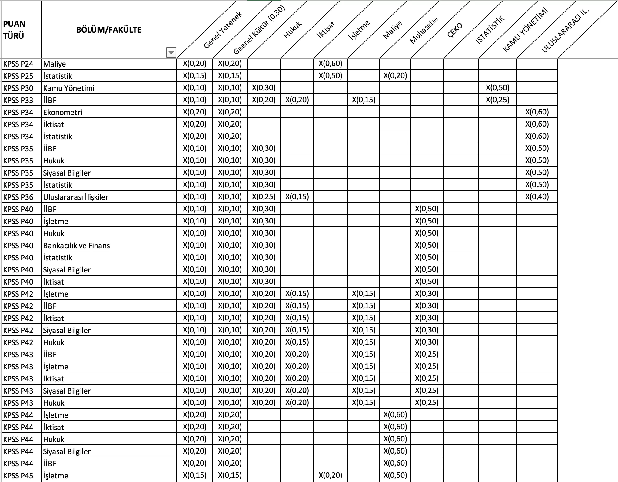
Hukuk bölümü mezunları KPSS P1, P6, P8, P11, P20, P21, P35, P40, P42, P43, P44, P45, P46, P47, P48 puan türünde KPSS tercihinde bulunabilirler.

Hukuk bölümü mezunları puan türüne göre hangi KPSS alanlarından sorumludur?
Hukuk bölümü mezunları P1 puan türüne göre Genel Yetenek ve Genel Kültür
Hukuk bölümü mezunları P6 puan türüne göre Genel Yetenek, Genel Kültür, Hukuk, İktisat, Maliye ve Kamu Yönetimi
Hukuk bölümü mezunları P8 puan türüne göre Genel Yetenek, Genel Kültür, Hukuk, İktisat ve Maliye
Hukuk bölümü mezunları P11 puan türüne göre Genel Yetenek, Genel Kültür, Hukuk, İktisat, Maliye ve Uluslararası İlişkiler
Hukuk bölümü mezunları P20 puan türüne göre Genel Yetenek, Genel Kültür, Hukuk ve Maliye
Hukuk bölümü mezunları P21 puan türüne göre Genel Yetenek, Genel Kültür, Hukuk, İktisat ve Maliye
Hukuk bölümü mezunları P35 puan türüne göre Genel Yetenek, Genel Kültür, Hukuk ve Uluslararası İlişkiler
Hukuk bölümü mezunları P40 puan türüne göre Genel Yetenek, Genel Kültür, Hukuk ve ÇEKO
Hukuk bölümü mezunları P42 puan türüne göre Genel Yetenek, Genel Kültür, Hukuk, İktisat, Maliye ve ÇEKO
Hukuk bölümü mezunları P43 puan türüne göre Genel Yetenek, Genel Kültür, Hukuk, İktisat, Maliye ve ÇEKO
Hukuk bölümü mezunları P44 puan türüne göre Genel Yetenek, Genel Kültür ve Muhasebe 
Hukuk bölümü mezunları P45 puan türüne göre Genel Yetenek, Genel Kültür, İşletme ve Muhasebe 
Hukuk bölümü mezunları P46 puan türüne göre Genel Yetenek, Genel Kültür, İktisat, İşletme ve Muhasebe
Hukuk bölümü mezunları P47 puan türüne göre Genel Yetenek, Genel Kültür, Hukuk, İktisat ve Maliye ve Muhasebe
Hukuk bölümü mezunları P48 puan türüne göre Genel Yetenek, Genel Kültür, Hukuk, İktisat ve Maliye ve Muhasebe alanlarından sorumludur.

İİBF mezunları hangi puan türünde KPSS tercihinde bulunabilirler?
İİBF mezunları için KPSS Puan Türü nedir?
İ.İ.B.F mezunları P1,P2, P6, P8, P11, P33, P35, P40, P42, P43, P44, P45, P46, P47, P48 puan türünde KPSS tercihinde bulunabilirler.

İİBF mezunları puan türüne göre hangi KPSS alanlarından sorumludur?
İİBF mezunları İİBF mezunları P1 puan türüne göre Genel Yetenek, Genel Kültür
İİBF mezunları P2 puan türüne göre Genel Yetenek, Genel Kültür
İİBF mezunları P6 puan türüne göre Genel Yetenek, Genel Kültür, Hukuk ve Kamu Yönetimi
İİBF mezunları P8 puan türüne göre Genel Yetenek, Genel Kültür, Hukuk, İktisat ve Maliye
İİBF mezunları P11 puan türüne göre Genel Yetenek, Genel Kültür, Hukuk, İktisat, Maliye ve Uluslararası İlişkiler
İİBF mezunları P33 puan türüne göre Genel Yetenek, Genel Kültür, Hukuk, İktisat, Maliye ve Kamu Yönetimi
İİBF mezunları P35 puan türüne göre Genel Yetenek, Genel Kültür, Hukuk ve Uluslararası İlişkiler
İİBF mezunları P40 puan türüne göre Genel Yetenek, Genel Kültür, Hukuk ve ÇEKO
İİBF mezunları P42 puan türüne göre Genel Yetenek, Genel Kültür, Hukuk, İktisat, Maliye ve ÇEKO
İİBF mezunları P43 puan türüne göre Genel Yetenek, Genel Kültür, Hukuk, İktisat, Maliye ve ÇEKO
İİBF mezunları P44 puan türüne göre Genel Yetenek, Genel Kültür ve Muhasebe
İİBF mezunları P45 puan türüne göre Genel Yetenek, Genel Kültür, İşletme ve Muhasebe
İİBF mezunları P46 puan türüne göre Genel Yetenek, Genel Kültür, İktisat, İşletme ve Muhasebe
İİBF mezunları P47 puan türüne göre Genel Yetenek, Genel Kültür, Hukuk, İktisat ve Maliye ve Muhasebe
İİBF mezunları P48 puan türüne göre Genel Yetenek, Genel Kültür, Hukuk, İktisat ve Maliye ve Muhasebe alanlarından sorumludur.

İktisat bölümü mezunları hangi puan türünde KPSS tercihinde bulunabilirler?
İktisat bölümü mezunları için KPSS Puan Türü nedir?
İktisat bölümü mezunları P1, P11, P22, P34, P40, P42, P43, P44, P45, P46, P47, P48 puan türünde KPSS tercihinde bulunabilirler.

İktisat bölümü mezunları puan türüne göre hangi KPSS alanlarından sorumludur?
İktisat bölümü mezunları P1 puan türüne göre Genel Yetenek, Genel Kültür
İktisat bölümü mezunları P11 puan türüne göre Genel Yetenek, Genel Kültür, Hukuk, İktisat, Maliye ve Uluslararası İlişkiler
İktisat bölümü mezunları P22 puan türüne göre Genel Yetenek, Genel Kültür, Hukuk, İktisat, Maliye ve Muhasebe
İktisat bölümü mezunları P34 puan türüne göre Genel Yetenek, Genel Kültür ve Uluslararası İlişkiler
İktisat bölümü mezunları P40 puan türüne göre Genel Yetenek, Genel Kültür, Hukuk ve ÇEKO
İktisat bölümü mezunları P42 puan türüne göre Genel Yetenek, Genel Kültür, Hukuk, İktisat, Maliye ve ÇEKO
İktisat bölümü mezunları P43 puan türüne göre Genel Yetenek, Genel Kültür, Hukuk, İktisat, Maliye ve ÇEKO 
İktisat bölümü mezunları P44 puan türüne göre Genel Yetenek, Genel Kültür ve Muhasebe
İktisat bölümü mezunları P45 puan türüne göre Genel Yetenek, Genel Kültür, İşletme ve Muhasebe
İktisat bölümü mezunları P46 puan türüne göre Genel Yetenek, Genel Kültür İktisat, İşletme ve Muhasebe
İktisat bölümü mezunları P47 puan türüne göre Genel Yetenek, Genel Kültür, Hukuk, İktisat, Maliye ve Muhasebe
İktisat bölümü mezunları P48 puan türüne göre Genel Yetenek, Genel Kültür, Hukuk, İktisat, Maliye ve Muhasebe alanlarından sorumludur.

İstatistik bölümü mezunları hangi puan türünde KPSS tercihinde bulunabilirler? 
İstatistik mezunları için KPSS Puan Türü nedir?
İstatistik bölümü mezunları P8, P12, P13, P25, P34, P35, P40 puan türünde KPSS tercihinde bulunabilirler.

İstatistik mezunları puan türüne göre hangi KPSS alanlarından sorumludur?
İstatistik mezunları P8 puan türüne göre Genel Yetenek, Genel Kültür, Hukuk, İktisat, Maliye
İstatistik mezunları P12 puan türüne göre Genel Yetenek, Genel Kültür ve İstatistik
İstatistik mezunları P13 puan türüne göre Genel Yetenek, Genel Kültür, İktisat ve İstatistik
İstatistik mezunları P25 puan türüne göre Genel Yetenek, Genel Kültür, İşletme ve Muhasebe
İstatistik mezunları P34 puan türüne göre Genel Yetenek, Genel Kültür ve Uluslararası İlişkiler
İstatistik mezunları P35 puan türüne göre Genel Yetenek, Genel Kültür, Hukuk ve Uluslararası İlişkiler
İstatistik mezunları P40 puan türüne göre Genel Yetenek, Genel Kültür, Hukuk ve ÇEKO alanlarından sorumludur.

İşletme bölümü mezunları hangi puan türünde KPSS tercihinde bulunabilirler? 
İşletme bölümü mezunları için KPSS Puan Türü nedir?
İşletme bölümü mezunları P1,P2,P11,P23,P40,P42,P43,P44,P45,P46,P47,P48 puan türünde KPSS tercihinde bulunabilirler.

İşletme mezunları puan türüne göre hangi KPSS alanlarından sorumludur?
İşletme mezunları P1 puan türüne göre Genel Yetenek, Genel Kültür
İşletme mezunları P2 puan türüne göre Genel Yetenek, Genel Kültür
İşletme mezunları P11 puan türüne göre Genel Yetenek, Genel Kültür, Hukuk, İktisat, Maliye, Uluslararası İlişkiler
İşletme mezunları P23 puan türüne göre Genel Yetenek, Genel Kültür, Hukuk, İktisat, Maliye, İşletme ve Muhasebe
İşletme mezunları P40 puan türüne göre Genel Yetenek, Genel Kültür, Hukuk ve ÇEKO
İşletme mezunları P42 puan türüne göre Genel Yetenek, Genel Kültür, Hukuk, İktisat, Maliye ve ÇEKO
İşletme mezunları P43 puan türüne göre Genel Yetenek, Genel Kültür, Hukuk, İktisat, Maliye ve ÇEKO
İşletme mezunları P44 puan türüne göre Genel Yetenek, Genel Kültür ve Muhasebe
İşletme mezunları P45 puan türüne göre Genel Yetenek, Genel Kültür, İşletme ve Muhasebe
İşletme mezunları P46 puan türüne göre Genel Yetenek, Genel Kültür, İktisat, İşletme ve Muhasebe
İşletme mezunları P47 puan türüne göre Genel Yetenek, Genel Kültür, Hukuk, İktisat, Maliye ve Muhasebe
İşletme mezunları P48 puan türüne göre Genel Yetenek, Genel Kültür, Hukuk, İktisat, Maliye ve Muhasebe alanlarından sorumludur.

Kamu Yönetimi bölümü mezunları hangi puan türünde KPSS tercihinde bulunabilirler? 
Kamu Yönetimi bölümü mezunları için KPSS Puan Türü nedir?
Kamu Yönetimi bölümü mezunları P1 ve P30 puan türünde KPSS tercihinde bulunabilirler.

Kamu Yönetimi mezunları puan türüne göre hangi KPSS alanlarından sorumludur?
Kamu Yönetimi mezunları P1 puan türüne göre Genel Yetenek, Genel Kültür
Kamu Yönetimi mezunları P30 puan türüne göre ise Genel Yetenek, Genel Kültür, Hukuk ve Kamu Yönetimi alanlarından sorumludur.

Maliye bölümü mezunları hangi puan türünde KPSS tercihinde bulunabilirler? 
Maliye bölümü mezunları için KPSS Puan Türü nedir?
Maliye bölümü mezunlarıP19,P20,P21,P22,P23, P24 puan türünde KPSS tercihinde bulunabilirler.

Maliye mezunları puan türüne göre hangi KPSS alanlarından sorumludur?
Maliye mezunları P19 puan türünde Genel Yetenek, Genel Kültür ve Maliye
Maliye mezunları P20 puan türünde Genel Yetenek, Genel Kültür, Hukuk ve Maliye
Maliye mezunları P21 puan türünde Genel Yetenek, Genel Kültür, Hukuk, İktisat ve Maliye
Maliye mezunları P22 puan türünde Genel Yetenek, Genel Kültür, Hukuk, İktisat, Muhasebe ve Maliye
Maliye mezunları P23 puan türünde Genel Yetenek, Genel Kültür, Hukuk, İktisat, Muhasebe, İşletme ve Maliye
Maliye mezunları P24 puan türünde Genel Yetenek, Genel Kültür ve İşletme alanlarından sorumludur.

Siyasal Bilgiler bölümü mezunları hangi puan türünde KPSS tercihinde bulunabilirler? 
Siyasal Bilgiler bölümü mezunları için KPSS Puan Türü nedir?
Siyasal Bilgiler bölümü mezunları P1,P6,P8,P11,P35,P40,P42,P43,P44,P45,P46,P47,P48 puan türünde KPSS tercihinde bulunabilirler.

Siyasal Bilgiler mezunları puan türüne göre hangi KPSS alanlarından sorumludur?
Siyasal Bilgiler mezunları P1 puan türünde Genel Yetenek, Genel Kültür
Siyasal Bilgiler mezunları P6 puan türünde Genel Yetenek, Genel Kültür, Hukuk ve Kamu Yönetimi
Siyasal Bilgiler mezunları P8 puan türünde Genel Yetenek, Genel Kültür, Hukuk, İktisat ve Maliye
Siyasal Bilgiler mezunları P11 puan türünde Genel Yetenek, Genel Kültür, Hukuk, İktisat ve Maliye ve Uluslararası İlişkiler
Siyasal Bilgiler mezunları P35 puan türünde Genel Yetenek, Genel Kültür, Hukuk ve Uluslararası İlişkiler
Siyasal Bilgiler mezunları P40 puan türünde Genel Yetenek, Genel Kültür, Hukuk ve ÇEKO
Siyasal Bilgiler mezunları P42-43 puan türünde Genel Yetenek, Genel Kültür, Hukuk, İktisat, Maliye ve ÇEKO
Siyasal Bilgiler mezunları P44 puan türünde Genel Yetenek, Genel Kültür ve Muhasebe
Siyasal Bilgiler mezunları P45 puan türünde Genel Yetenek, Genel Kültür, İşletme ve Muhasebe
Siyasal Bilgiler mezunları P46 puan türünde Genel Yetenek, Genel Kültür, İktisat, İşletme ve Muhasebe
Siyasal Bilgiler mezunları P47-48 puan türünde Genel Yetenek, Genel Kültür, İktisat, Hukuk, Maliye ve Muhasebe alanlarından sorumludur.

Uluslararası Ticaret bölümü mezunları hangi puan türünde KPSS tercihinde bulunabilirler? 
Uluslararası Ticaret bölümü mezunları için KPSS Puan Türü nedir?
Uluslararası Ticaret bölümü mezunları P1 ve P18 puan türünde KPSS tercihinde bulunabilirler.

Uluslararası Ticaret mezunları puan türüne göre hangi KPSS alanlarından sorumludur?
Uluslararası Ticaret mezunları P1 puan türüne göre Genel Yetenek ve Genel Kültür
Uluslararası Ticaret mezunları P18 puan türünde ise Genel Yetenek, Genel Kültür, İktisat, Hukuk, Maliye, İşletme ve Muhasebe alanlarından sorumludur.

Uluslararası İlişkiler bölümü mezunları hangi puan türünde KPSS tercihinde bulunabilirler? 
Uluslararası İlişkiler bölümü mezunları için KPSS Puan Türü nedir?
Uluslararası İlişkiler bölümü mezunları P36 puan türünde KPSS tercihinde bulunabilirler.

Uluslararası mezunları puan türüne göre hangi KPSS alanlarından sorumludur?
Uluslararası İlişkiler bölümü mezunları P36 puan türünde ise Genel Yetenek, Genel Kültür, Hukuk, İktisat ve Uluslararası İlişkiler alanlarından sorumludur.
kpss puan türleri.jpg
KPSS KONU DAĞILIMI 2.pngKPSS KONU SORU DAĞILIMI.png

İlgilenebileceğiniz Eğitimler

KPSS A GRUBU VİDEO EĞİTİM PAKETİ

Eğitim Türü:
Video Eğitim
Süre:
500 Saat
15800TL

KPSS A ONLINE EĞİTİM PAKETİ

Başlangıç Tarihi:
20 ARALIK 2025
Süre:
665 + 120 Saat
25800TL

İlginizi Çekebilecek Makaleler